HOME - Clinical cases - Oral Hygiene & Prevention
 
 
15 September 2021

Musculoskeletal well-being among Italian dentists

Study of the University of Bologna as part of the Ergonomics, Posturology and Yoga Therapy Project for the Degree Course in Dentistry and for the Degree Course in Dental Hygiene


The study from the University of Bologna entitled “Musculoskeletal Disorders among Italian Dentists and Dental Hygienists” - conducted by an Italian team of the Dental Clinic directed by Prof. Maria Giovanna Gandolfi - has been published in March 2021 in the international scientific journal International Journal of Environmental Research and Public Health.

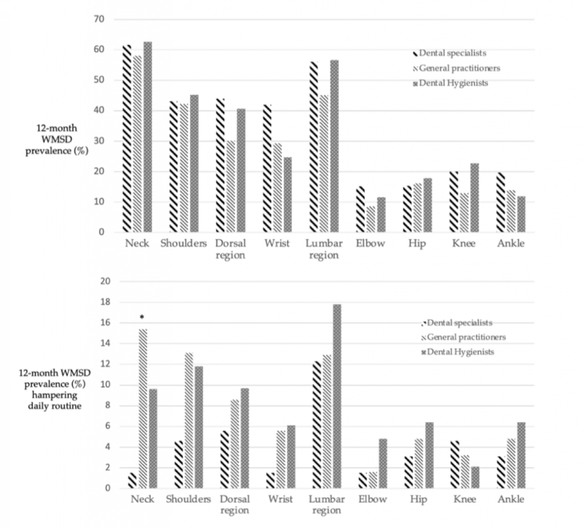
The study has been performed on a large group of dentists and dental hygienists from different Italian regions, showed that 59.9% suffer from work-related pain in the neck, 52% in the lumbar area, 43.3% in the shoulders, and 37.7% in the dorsal area. Also wrists, elbows and ankles were affected by pain problems.

The incidence of problems resulted proportional to the number of hours of outpatient activity (with a higher incidence for 30-40 hours per week) and to the number of years of professional activity (with a higher incidence for operators in business for 21-40 years). However, even recent graduates in the process of learning and consolidating dental skills are particularly affected.

The incidence of musculoskeletal disorders among the women was approximately almost twice as large as in men.

The 60% of Dentists have suffered from pain problems in the neck in the last 12 months and 45-56% in the lumbar area. The 15.4% reported major neck problems in the last 12 months that forced the temporary suspension of the profession. The 17.8% of Dental Hygienists instead presented to the lumbar area.

The study showed that the dental profession exposes dentists and dental hygienists to numerous health risks, including the development of disorders and diseases affecting the musculoskeletal system.

A number of positions and activities subject the muscular system and skeletal with prolonged effort, uninterrupted tension, incorrect biomechanics of movement and considerable physical and mental stress/fatigue. These are the prolonged position maintained by isometric activation of the posterior muscles of the spine, the static movements in abduction and/or elevation of the arms, the vibrations, the prolonged applications of force, the torsions and inclinations of the head and torso, etc ...

Prevention, considered as the university acquisition of professional skills never separated from the knowledge of the guidelines of dental ergonomics and from their application during university learning, represents a powerful means of reducing risk.

The numerous mechanical and physiological stresses cannot be completely excluded due to the type of activity, which requires precision in poorly visible areas and with types of maneuvers that affect the physiology and well-being of the dentist.

The study has been promoted by the Ergonomics, Posturology and Yoga Therapy Project carried out for the Degree Course in Dentistry and for the Degree Course in Dental Hygiene of the Alma Mater University of Bologna. It also highlighted the lack of knowledge of dental ergonomics, anatomical-functional causes of pain development and lack of knowledge of compensatory mobilization, muscle relaxation and skeletal decompression techniques.

Within a Department dedicated to Biomedical and NeuroMotor Sciences (DIBINEM) - MIUR Department of Excellence directed by Prof. Lucia Manzoli - particular attention could not be missing to the neuromotor and anatomical-functional aspects related to the health and well-being of our students, future dental professionals.

In the Dental Clinic of Bologna (the university Dental School), the students in Dentistry and in Dental Hygiene participate in the Project included in the curricular program, and learn - also through a fundamental experiential activity (fundamental practice of the program to acquire body awareness and self-analysis skills) - the rationale that underlies the dental ergonomics. In this way, they build their professional skills and knowledge with postural awareness and control. It is an innovative Project - which has received the support of the Deputy Director Prof. Lorenzo Breschi and the Dean of the Dental Clinic Prof. Carlo Prati - that Prof. Gandolfi is planning to extend to Alma Mater postgraduate courses such as the university Masters for dental professionals.

An important objective of the training courses in Dentistry and in Dental Hygiene at the University of Bologna is to focus on the well-being and health of dentists and dental hygienists.

Figures from the study: Maria Giovanna Gandolfi, Fausto Zamparini, Andrea Spinelli, Alessandro Risi, Carlo Prati. Musculoskeletal Disorders among Italian Dentists and Dental Hygienists. Int. J. Environ. Res. Public Health 2021, 18(5), 2705; https://doi.org/10.3390/ijerph18052705

Read more

Patient perception research has failed to focus on burgeoning technology within the dental field.


Some admissions experiences can make an applicant feel like a statistic being analyzed or, as first-year Florida dental student Nate Fordham put it, like a “mushroom”: kept in the dark and fed...


Streamline your workflow with BioHorizons. Tapered Pro Conical offers a single, color-coded prosthetic platform for all full-arch cases.


Following AI Voice Perio, voice-driven charting expands to restorative exams, enabling single-provider clinical documentation in Denticon.


Cosmetic & Reconstructive Dentistry recently announced the creation of a new scholarship program supporting graduating seniors from Fairfield’s public high schools who plan to pursue studies in...


 
 
 
 

 
 
 
 

Most popular

 
 

Events